🍨 Gelato β€” From Data Curation to Reinforcement Learning: Building a Strong Grounding Model for Computer-Use Agents

🍨 Blog Post / Codebase |β€‚πŸ–±οΈ Click-100k (dataset)

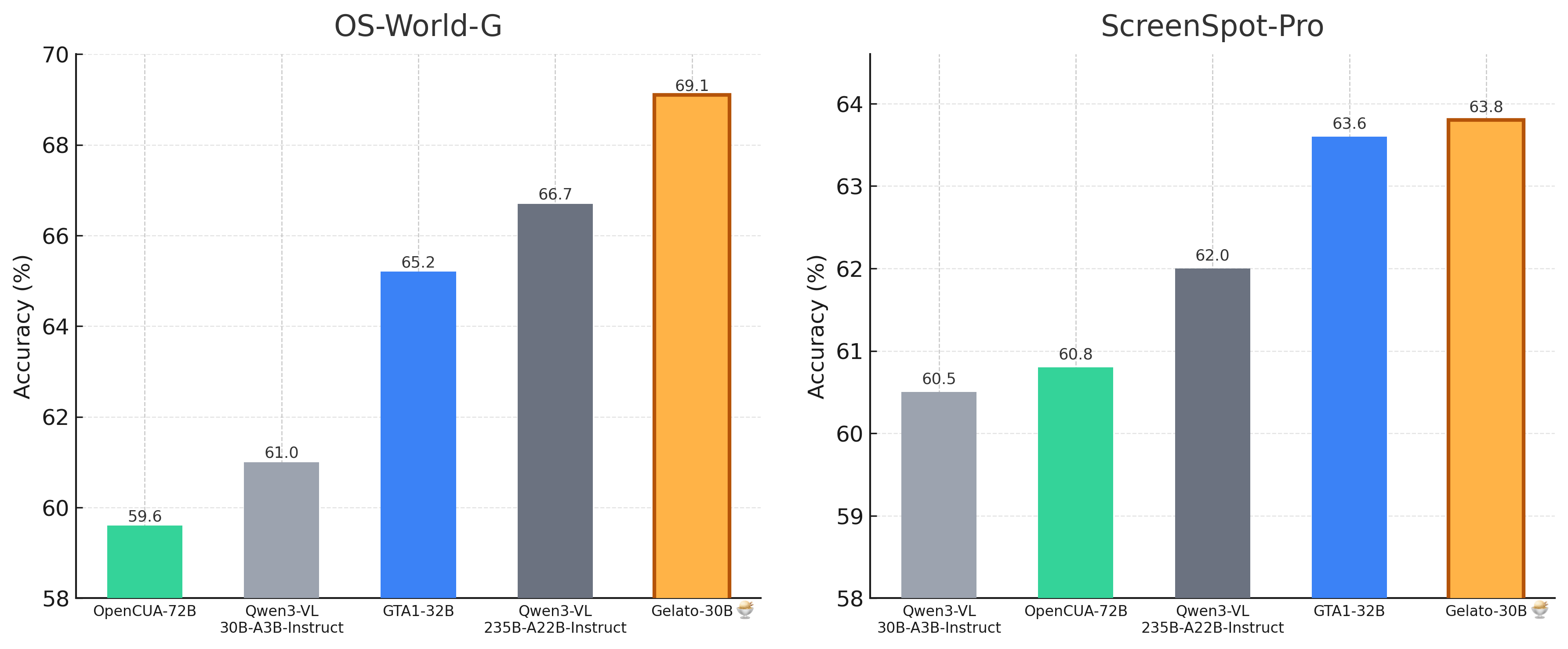
Figure 1: Gelato achieves SOTA performance on grounding benchmarks.

We are releasing 🍨 Gelato-30B-A3B, a state-of-the-art grounding model for GUI computer-use tasks! Gelato is trained on our open-sourced Click-100k dataset and achieves 63.88% accuracy on ScreenSpot-Pro and 69.15% / 74.65% on OS-World-G / OS-World-G (Refined), surpassing prior specialized computer grounding models like GTA1-32B and much larger VLMs including Qwen3-VL-235B-A22B-Instruct.

Performance

Gelato-30B-A3B outperforms the SoTA specialized computer grounding model, GTA1-32B, and larger VLMs on the ScreenSpot-Pro and OS-World-G grounding benchmarks.

Model Activated Size ScreenSpot-Pro OS-World-G OS-World-G (Refined)
Qwen3-VL-30B-A3B-Instruct 3 B 60.5% 61.0% -
Qwen3-VL-235B-A22B-Instruct 22 B 62.0% 66.7% -
OpenCUA-72B 72 B 60.8% 59.6% -
GTA1-32B 32 B 63.6% 65.2% 72.2%
Gelato-30B-A3B 3 B 63.88% 69.15% 74.65%

Inference

Below is a code snippet demonstrating how to inference the Gelato-30B-A3B model. Given an image and an instruction, we output normalized click coordinates in the range [0,1000]. Fig2: Sample GUI image with instruction and grounding by Gelato-30B-A3B

from transformers import Qwen3VLMoeForConditionalGeneration, AutoProcessor
import re
from PIL import Image, ImageDraw
import requests
from io import BytesIO


def extract_coordinates(raw_string):
    """
    Extract the coordinates from the raw string.
    Args:
        raw_string: str (e.g. "(100, 200)")
    Returns:
        x: float (e.g. 100.0)
        y: float (e.g. 200.0)
    """
    try:
        matches = re.findall(r"\((-?\d*\.?\d+),\s*(-?\d*\.?\d+)\)", raw_string)
        return [tuple(map(int, match)) for match in matches][0]
    except:
        return 0,0

def visualize_prediction(img, pred_x, pred_y, img_width, img_height):
    """
    Visualize the predicted coordinates on the image (high visibility).
    """
    pred_x = int((pred_x * img_width) / 1000)
    pred_y = int((pred_y * img_height) / 1000)

    draw = ImageDraw.Draw(img, "RGBA")

    r = 30
    draw.ellipse(
        (pred_x - r, pred_y - r, pred_x + r, pred_y + r),
        outline="lime",
        fill=(0, 255, 0, 90),
        width=5
    )

    cross_len = 15
    draw.line((pred_x - cross_len, pred_y, pred_x + cross_len, pred_y), fill="lime", width=5)
    draw.line((pred_x, pred_y - cross_len, pred_x, pred_y + cross_len), fill="lime", width=5)

    img.save("predicted_coordinates.png")
    print(f"Predicted coordinates: ({pred_x}, {pred_y})")

# Load the model and processor
MODEL_PATH = "mlfoundations/Gelato-30B-A3B"

model = Qwen3VLMoeForConditionalGeneration.from_pretrained(
    MODEL_PATH,
    device_map="auto",
    dtype="auto"
)

processor = AutoProcessor.from_pretrained(
    MODEL_PATH
)

url = "https://github.com/QwenLM/Qwen3-VL/raw/main/cookbooks/assets/computer_use/computer_use1.jpeg"
response = requests.get(url)
img = Image.open(BytesIO(response.content))
img_width, img_height = img.size

# Prepare messages
PROMPT = '''
You are an expert UI element locator. Given a GUI image and a user's element description, provide the coordinates of the specified element as a single (x,y) point. For elements with area, return the center point.

Output the coordinate pair exactly:
(x,y)
'''
PROMPT = PROMPT.strip()
INSTRUCTION = "Reload the cache."

messages = [
    {
        "role": "user",
        "content": [
            {"type": "text", "text": PROMPT + "\n\n"},
            {"type": "image", "image": img},
            {"type": "text", "text": "\n" + INSTRUCTION},
        ],
    }
]

device = next(model.parameters()).device
inputs = processor.apply_chat_template(
    messages,
    tokenize=True,
    add_generation_prompt=True,
    return_dict=True,
    return_tensors="pt"
).to(device)

# Inference: Generation of the output
generated_ids = model.generate(**inputs, max_new_tokens=32)
generated_ids_trimmed = [
    out_ids[len(in_ids) :] for in_ids, out_ids in zip(inputs.input_ids, generated_ids)
]
output_text = processor.batch_decode(
    generated_ids_trimmed, skip_special_tokens=True, clean_up_tokenization_spaces=False
)

# Extract the coordinates from the output text
print(f"Model output: {output_text[0]}")
pred_x, pred_y = extract_coordinates(output_text[0])

# Calculate the absolute coordinates from normalized coordinates
visualize_prediction(img, pred_x, pred_y, img_width, img_height)

Citation

If you use 🍨 Gelato in your research, please cite it as follows:

@misc{gelato2025,
  title={Gelato β€” From Data Curation to Reinforcement Learning: Building a Strong Grounding Model for Computer-Use Agents},
  author={Anas Awadalla, Dhruba Ghosh, Aylin Akkus, Yuhui Zhang, Marianna Nezhurina, Jenia Jitsev, Yejin Choi, Ludwig Schmidt},
  year={2025},
  publisher={GitHub},
  howpublished={\url{https://github.com/mlfoundations/gelato}},
}
Downloads last month
1,477
Safetensors
Model size
31B params
Tensor type
BF16
Β·
Inference Providers NEW
This model isn't deployed by any Inference Provider. πŸ™‹ 1 Ask for provider support

Model tree for mlfoundations/Gelato-30B-A3B

Finetuned
(11)
this model
Quantizations
5 models

Dataset used to train mlfoundations/Gelato-30B-A3B

Collection including mlfoundations/Gelato-30B-A3B