LaTeX_OCR_rec
Introduction
LaTeX-OCR is a formula recognition algorithm based on an autoregressive large model. It uses Hybrid ViT as the backbone network and a transformer as the decoder, significantly improving the accuracy of formula recognition. The key accuracy metrics are as follow:
| Model | Backbone | En-BLEU↑ | Zh-BLEU(%)↑ | GPU Inference Time (ms) |
|---|---|---|---|---|
| UniMERNet | Donut Swin | 85.91 | 43.50 | 2266.96 |
| PP-FormulaNet-S | PPHGNetV2_B4 | 87.00 | 45.71 | 202.25 |
| PP-FormulaNet-L | Vary_VIT_B | 90.36 | 45.78 | 1976.52 |
| PP-FormulaNet_plus-S | PPHGNetV2_B4 | 88.71 | 53.32 | 191.69 |
| PP-FormulaNet_plus-M | PPHGNetV2_B6 | 91.45 | 89.76 | 1301.56 |
| PP-FormulaNet_plus-L | Vary_VIT_B | 92.22 | 90.64 | 1745.25 |
| LaTeX-OCR | Hybrid ViT | 74.55 | 39.96 | 1244.61 |
Note: En-BLEU and Zh-BLEU (%) represent the BLEU scores for English formulas and Chinese formulas, respectively. The evaluation dataset for English formulas includes simple and complex formulas from UniMERNet, as well as simple, intermediate, and complex formulas from PaddleX’s internally developed dataset. The evaluation dataset for Chinese formulas comes from PaddleX’s internally developed Chinese formula dataset.
Quick Start
Installation
- PaddlePaddle
Please refer to the following commands to install PaddlePaddle using pip:
# for CUDA11.8
python -m pip install paddlepaddle-gpu==3.0.0 -i https://www.paddlepaddle.org.cn/packages/stable/cu118/
# for CUDA12.6
python -m pip install paddlepaddle-gpu==3.0.0 -i https://www.paddlepaddle.org.cn/packages/stable/cu126/
# for CPU
python -m pip install paddlepaddle==3.0.0 -i https://www.paddlepaddle.org.cn/packages/stable/cpu/
For details about PaddlePaddle installation, please refer to the PaddlePaddle official website.
- PaddleOCR
Install the latest version of the PaddleOCR inference package from PyPI:
python -m pip install paddleocr
Model Usage
You can quickly experience the functionality with a single command:
paddleocr formula_recognition \
--model_name LaTeX_OCR_rec \
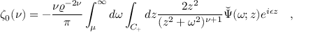
-i https://huggingface.co/static-proxy/cdn-uploads.huggingface.co/production/uploads/68493f0616e67d38f02f138a/4kkIUGxXMGozIg6U1BIxZ.png
You can also integrate the model inference of the formula recognition module into your project. Before running the following code, please download the sample image to your local machine.
from paddleocr import FormulaRecognition
model = FormulaRecognition(model_name="LaTeX_OCR_rec")
output = model.predict(input="4kkIUGxXMGozIg6U1BIxZ.png", batch_size=1)
for res in output:
res.print()
res.save_to_img(save_path="./output/")
res.save_to_json(save_path="./output/res.json")
After running, the obtained result is as follows:
{'res': {'input_path': '4kkIUGxXMGozIg6U1BIxZ.png', 'page_index': None, 'rec_formula': '\\zeta_{0}(\\nu)=-{\\frac{\\nu\\varrho^{-2\\nu}}{\\pi}}\\int_{\\mu}^{\\infty}d\\omega\\int_{C_{+}}d z{\\frac{2z^{2}}{(z^{2}+\\omega^{2})^{\\nu+1}}}{\\tilde{\\Psi}}(\\omega;z)e^{i\\epsilon z}~~~,'}}
Note: If you need to visualize the formula recognition module, you must install the LaTeX rendering environment by running the following command. Currently, visualization is only supported on Ubuntu. Other environments are not supported for now. For complex formulas, the LaTeX result may contain advanced representations that may not render successfully in Markdown or similar environments:
sudo apt-get update
sudo apt-get install texlive texlive-latex-base texlive-xetex latex-cjk-all texlive-latex-extra -y
The visualized image is as follows:
For details about usage command and descriptions of parameters, please refer to the Document.
Pipeline Usage
The ability of a single model is limited. But the pipeline consists of several models can provide more capacity to resolve difficult problems in real-world scenarios.
Formula Recognition Pipeline
The formula recognition pipeline is designed to solve formula recognition tasks by extracting formula information from images and outputting it in LaTeX source code format. And there are 4 modules in the pipeline:
- Document Image Orientation Classification Module (Optional)
- Text Image Unwarping Module (Optional)
- Layout Detection Module (Optional)
- Formula Recognition Module
Run a single command to quickly experience the Formula Recognition Pipeline. Before running the code below, please download the example image locally:
paddleocr formula_recognition_pipeline -i https://huggingface.co/static-proxy/cdn-uploads.huggingface.co/production/uploads/68493f0616e67d38f02f138a/4HrLNUf2yKGI8CwN9axpt.png \
--formula_recognition_model_name LaTeX_OCR_rec \
--save_path ./output \
--device gpu:0
Results are printed to the terminal:
{'res': {'input_path': '/root/.paddlex/predict_input/4HrLNUf2yKGI8CwN9axpt.png', 'page_index': None, 'model_settings': {'use_doc_preprocessor': True, 'use_layout_detection': True}, 'doc_preprocessor_res': {'input_path': None, 'page_index': None, 'model_settings': {'use_doc_orientation_classify': True, 'use_doc_unwarping': True}, 'angle': 0}, 'layout_det_res': {'input_path': None, 'page_index': None, 'boxes': [{'cls_id': 2, 'label': 'text', 'score': 0.9855162501335144, 'coordinate': [90.5582, 1086.7775, 658.8992, 1553.267]}, {'cls_id': 2, 'label': 'text', 'score': 0.9814791679382324, 'coordinate': [93.042145, 127.992386, 664.8606, 396.60297]}, {'cls_id': 2, 'label': 'text', 'score': 0.9767233729362488, 'coordinate': [698.44617, 591.048, 1293.3668, 748.28625]}, {'cls_id': 2, 'label': 'text', 'score': 0.9712724089622498, 'coordinate': [701.4879, 286.62286, 1299.0151, 391.8841]}, {'cls_id': 2, 'label': 'text', 'score': 0.9708836078643799, 'coordinate': [697.0071, 751.9401, 1290.2227, 883.6447]}, {'cls_id': 2, 'label': 'text', 'score': 0.9688520431518555, 'coordinate': [704.01917, 79.636734, 1304.7367, 187.96138]}, {'cls_id': 2, 'label': 'text', 'score': 0.9683284163475037, 'coordinate': [93.07703, 799.36597, 660.6864, 902.0364]}, {'cls_id': 7, 'label': 'formula', 'score': 0.9660061597824097, 'coordinate': [728.5604, 440.9317, 1224.097, 570.8568]}, {'cls_id': 7, 'label': 'formula', 'score': 0.9615049958229065, 'coordinate': [723.025, 1333.5005, 1257.1569, 1468.0688]}, {'cls_id': 7, 'label': 'formula', 'score': 0.961004376411438, 'coordinate': [777.5282, 207.88376, 1222.9387, 267.32993]}, {'cls_id': 7, 'label': 'formula', 'score': 0.9609803557395935, 'coordinate': [756.4403, 1211.3208, 1188.0408, 1268.2334]}, {'cls_id': 2, 'label': 'text', 'score': 0.959402322769165, 'coordinate': [697.5221, 957.6737, 1288.6223, 1033.5424]}, {'cls_id': 2, 'label': 'text', 'score': 0.9592350125312805, 'coordinate': [691.3296, 1511.7983, 1282.0968, 1642.5952]}, {'cls_id': 7, 'label': 'formula', 'score': 0.9590734839439392, 'coordinate': [153.89197, 924.2169, 601.09546, 1036.9056]}, {'cls_id': 2, 'label': 'text', 'score': 0.9582054615020752, 'coordinate': [87.024506, 1557.2972, 655.9558, 1632.701]}, {'cls_id': 7, 'label': 'formula', 'score': 0.9579665064811707, 'coordinate': [810.86975, 1057.1064, 1175.1078, 1117.6572]}, {'cls_id': 7, 'label': 'formula', 'score': 0.9557791352272034, 'coordinate': [165.2392, 557.844, 598.2451, 614.3662]}, {'cls_id': 7, 'label': 'formula', 'score': 0.9539064764976501, 'coordinate': [116.46484, 713.8796, 614.2107, 774.029]}, {'cls_id': 2, 'label': 'text', 'score': 0.9520670175552368, 'coordinate': [96.68561, 478.32416, 662.5837, 536.60223]}, {'cls_id': 2, 'label': 'text', 'score': 0.9442729949951172, 'coordinate': [96.14572, 639.16113, 661.80334, 692.4822]}, {'cls_id': 2, 'label': 'text', 'score': 0.940317690372467, 'coordinate': [695.9426, 1138.6841, 1286.7327, 1188.0151]}, {'cls_id': 7, 'label': 'formula', 'score': 0.9249900579452515, 'coordinate': [852.94556, 908.64923, 1131.185, 933.8394]}, {'cls_id': 7, 'label': 'formula', 'score': 0.9248911142349243, 'coordinate': [195.27357, 424.8133, 567.68335, 451.1208]}, {'cls_id': 17, 'label': 'formula_number', 'score': 0.9173402786254883, 'coordinate': [1246.2461, 1079.063, 1286.333, 1104.3276]}, {'cls_id': 17, 'label': 'formula_number', 'score': 0.9168799519538879, 'coordinate': [1246.8928, 908.664, 1288.1958, 934.6163]}, {'cls_id': 17, 'label': 'formula_number', 'score': 0.915979266166687, 'coordinate': [1247.0377, 1229.1577, 1287.0939, 1254.9792]}, {'cls_id': 17, 'label': 'formula_number', 'score': 0.9086456894874573, 'coordinate': [1252.8517, 492.109, 1294.6124, 518.47156]}, {'cls_id': 17, 'label': 'formula_number', 'score': 0.9016352891921997, 'coordinate': [1242.1753, 1473.7004, 1283.019, 1498.6516]}, {'cls_id': 17, 'label': 'formula_number', 'score': 0.9000396728515625, 'coordinate': [1269.8044, 220.35562, 1299.8611, 247.01315]}, {'cls_id': 7, 'label': 'formula', 'score': 0.8966289758682251, 'coordinate': [95.999916, 235.48334, 295.44852, 265.59302]}, {'cls_id': 2, 'label': 'text', 'score': 0.8954761028289795, 'coordinate': [696.8688, 1286.2268, 1083.3927, 1310.8733]}, {'cls_id': 7, 'label': 'formula', 'score': 0.8951668739318848, 'coordinate': [166.62683, 129.18127, 511.6576, 156.2976]}, {'cls_id': 2, 'label': 'text', 'score': 0.8934891819953918, 'coordinate': [725.67053, 396.18787, 1263.0408, 422.78894]}, {'cls_id': 17, 'label': 'formula_number', 'score': 0.892305314540863, 'coordinate': [634.14246, 427.77844, 661.17773, 454.10535]}, {'cls_id': 2, 'label': 'text', 'score': 0.8891267776489258, 'coordinate': [94.483185, 1058.7578, 441.93515, 1082.4932]}, {'cls_id': 17, 'label': 'formula_number', 'score': 0.8877044320106506, 'coordinate': [630.4214, 939.2977, 657.7117, 965.36]}, {'cls_id': 17, 'label': 'formula_number', 'score': 0.8832477927207947, 'coordinate': [630.59216, 1000.9552, 657.4265, 1026.2094]}, {'cls_id': 17, 'label': 'formula_number', 'score': 0.8769293427467346, 'coordinate': [634.1151, 575.3828, 660.59314, 601.1638]}, {'cls_id': 7, 'label': 'formula', 'score': 0.8733161091804504, 'coordinate': [95.2839, 1320.377, 264.92313, 1345.8511]}, {'cls_id': 17, 'label': 'formula_number', 'score': 0.8703839182853699, 'coordinate': [633.8277, 730.3137, 659.84564, 755.55347]}, {'cls_id': 7, 'label': 'formula', 'score': 0.8392633199691772, 'coordinate': [365.18652, 268.2967, 515.7993, 296.06952]}, {'cls_id': 7, 'label': 'formula', 'score': 0.8316442370414734, 'coordinate': [1090.5394, 1599.1625, 1276.672, 1622.1669]}, {'cls_id': 7, 'label': 'formula', 'score': 0.817266583442688, 'coordinate': [246.17564, 161.22665, 314.3683, 186.41296]}, {'cls_id': 3, 'label': 'number', 'score': 0.8043113350868225, 'coordinate': [1297.4021, 7.143423, 1310.6084, 27.74441]}, {'cls_id': 7, 'label': 'formula', 'score': 0.797702968120575, 'coordinate': [538.4617, 478.0895, 661.8972, 508.51443]}, {'cls_id': 7, 'label': 'formula', 'score': 0.7646714448928833, 'coordinate': [916.5115, 1618.5238, 1009.6382, 1640.8141]}, {'cls_id': 7, 'label': 'formula', 'score': 0.7432729005813599, 'coordinate': [694.83765, 1612.2528, 861.0532, 1635.9652]}, {'cls_id': 7, 'label': 'formula', 'score': 0.7072135806083679, 'coordinate': [99.70873, 508.2096, 254.92291, 535.7488]}, {'cls_id': 7, 'label': 'formula', 'score': 0.6994448304176331, 'coordinate': [696.79846, 1561.4436, 899.79236, 1586.7415]}, {'cls_id': 7, 'label': 'formula', 'score': 0.6704866886138916, 'coordinate': [1117.0674, 1572.0345, 1191.5293, 1594.7426]}, {'cls_id': 7, 'label': 'formula', 'score': 0.6333382725715637, 'coordinate': [577.34186, 1274.4236, 602.5528, 1296.696]}, {'cls_id': 7, 'label': 'formula', 'score': 0.621163010597229, 'coordinate': [175.29213, 349.82397, 241.25047, 376.66553]}, {'cls_id': 7, 'label': 'formula', 'score': 0.6146791577339172, 'coordinate': [773.0735, 595.1659, 800.43823, 617.38635]}, {'cls_id': 7, 'label': 'formula', 'score': 0.6107904314994812, 'coordinate': [706.67114, 316.8644, 736.7178, 339.93387]}, {'cls_id': 7, 'label': 'formula', 'score': 0.5521712899208069, 'coordinate': [1263.9779, 314.65396, 1292.8451, 337.40207]}, {'cls_id': 7, 'label': 'formula', 'score': 0.5341379046440125, 'coordinate': [1219.2937, 316.60284, 1243.9319, 339.71375]}, {'cls_id': 7, 'label': 'formula', 'score': 0.520746111869812, 'coordinate': [254.65915, 323.65292, 326.58456, 349.53452]}, {'cls_id': 7, 'label': 'formula', 'score': 0.5011299848556519, 'coordinate': [255.84404, 1350.6619, 301.73444, 1375.5315]}]}, 'formula_res_list': [{'rec_formula': '\\psi_{0}(M)-\\psi(M,z)=\\frac{(1-\\epsilon_{r})}{\\epsilon_{r}}\\frac{\\lambda^{2}c^{2}}{t_{\\mathrm{{\\smallE}}}^{2}\\ln(10)}\\times', 'formula_region_id': 1, 'dt_polys': ([728.5604, 440.9317, 1224.097, 570.8568],)}, {'rec_formula': 'p(\\log_{10}M|\\log_{10}\\sigma)={\\frac{1}{2}}\\left.{\\sqrt{2\\pi\\epsilon_{0}}}\\right|^{2}\\,\\right|\\,.', 'formula_region_id': 2, 'dt_polys': ([723.025, 1333.5005, 1257.1569, 1468.0688],)}, {'rec_formula': '\\phi(L)\\equiv\\frac{d n}{d\\log_{10}L}=\\frac{\\phi_{*}}{(L/L_{*})^{\\gamma_{1}}+(L/L_{*})^{\\gamma_{2}}}.', 'formula_region_id': 3, 'dt_polys': ([777.5282, 207.88376, 1222.9387, 267.32993],)}, {'rec_formula': '\\psi_{0}(M)=\\int d\\sigma\\frac{p(\\log_{10}\\,M|\\log_{10}\\,\\sigma)}{M\\log(10)}\\frac{d n}{d\\sigma}(\\sigma),', 'formula_region_id': 4, 'dt_polys': ([756.4403, 1211.3208, 1188.0408, 1268.2334],)}, {'rec_formula': '\\begin{array}{l}{{\\displaystyle\\rho{\\mathrm{BH}}=\\displaystyle\\int d M\\psi(M)M}}\\\\ {{{}={\\displaystyle\\frac{1-\\epsilon_{r}}{\\epsilon_{r}c^{2}}}\\int_{0}^{\\infty}d z{\\frac{d t}{d z}}\\int d\\log_{10}L\\phi(L,z)L,}}\\end{array}', 'formula_region_id': 5, 'dt_polys': ([153.89197, 924.2169, 601.09546, 1036.9056],)}, {'rec_formula': '\\frac{d n}{d\\sigma}d\\sigma=\\psi_{*}\\left(\\frac{\\sigma}{\\sigma_{*}}\\right)^{\\alpha}\\frac{e^{-(\\sigma/\\sigma_{*})^{\\beta}}}{\\Gamma(\\alpha/\\beta)}\\beta\\frac{d\\sigma}{\\sigma}.', 'formula_region_id': 6, 'dt_polys': ([810.86975, 1057.1064, 1175.1078, 1117.6572],)}, {'rec_formula': '\\langle\\dot{M}(M,t)\\rangle\\psi(M,t)=\\frac{(1-\\epsilon_{r})}{\\epsilon_{r}c^{2}\\ln(10)}\\phi(L,t)\\frac{d L}{d M}.', 'formula_region_id': 7, 'dt_polys': ([165.2392, 557.844, 598.2451, 614.3662],)}, {'rec_formula': '\\frac{\\partial\\psi}{\\partial t}(M,t)+\\frac{(1-\\epsilon_{r})}{\\epsilon_{r}}\\frac{\\lambda^{2}c^{2}}{t_{\\mathrm{E}}^{2}\\ln(10)}\\left.\\frac{\\partial\\phi}{\\partial L}\\right|_{L=\\lambda M c^{2}/t_{\\mathrm{E}}}=0,', 'formula_region_id': 8, 'dt_polys': ([116.46484, 713.8796, 614.2107, 774.029],)}, {'rec_formula': '\\log_{10}M=a_{*}+b_{*}\\log_{10}X.', 'formula_region_id': 9, 'dt_polys': ([852.94556, 908.64923, 1131.185, 933.8394],)}, {'rec_formula': '\\phi(L,t)d\\log_{\\mathrm{tot}}L=\\delta(M,t)\\psi(M,t)d M.', 'formula_region_id': 10, 'dt_polys': ([195.27357, 424.8133, 567.68335, 451.1208],)}, {'rec_formula': '\\hat{M}\\;=\\;(1\\,-\\,\\epsilon_{r})\\,\\hat{M}_{\\mathrm{acc}}', 'formula_region_id': 11, 'dt_polys': ([95.999916, 235.48334, 295.44852, 265.59302],)}, {'rec_formula': 't_{E}\\;=\\;\\sigma_{T}c/4\\pi G m_{v}\\:=\\:4.5\\times10^{8}\\mathrm{yr}', 'formula_region_id': 12, 'dt_polys': ([166.62683, 129.18127, 511.6576, 156.2976],)}, {'rec_formula': 'M_{\\ast}\\;=\\;L_{\\ast}t_{F}/\\lambda c^{2}', 'formula_region_id': 13, 'dt_polys': ([95.2839, 1320.377, 264.92313, 1345.8511],)}, {'rec_formula': '\\phi(L,t)d\\log_{10}L', 'formula_region_id': 14, 'dt_polys': ([365.18652, 268.2967, 515.7993, 296.06952],)}, {'rec_formula': 'a_{\\bullet}\\;=\\;8.32\\pm0.05', 'formula_region_id': 15, 'dt_polys': ([1090.5394, 1599.1625, 1276.672, 1622.1669],)}, {'rec_formula': '\\epsilon_{r}M_{\\mathrm{acc}}', 'formula_region_id': 16, 'dt_polys': ([246.17564, 161.22665, 314.3683, 186.41296],)}, {'rec_formula': '\\langle{\\hat{M}}(M,t)\\rangle=', 'formula_region_id': 17, 'dt_polys': ([538.4617, 478.0895, 661.8972, 508.51443],)}, {'rec_formula': '\\epsilon_{0}=0.38', 'formula_region_id': 18, 'dt_polys': ([916.5115, 1618.5238, 1009.6382, 1640.8141],)}, {'rec_formula': 'b_{\\bullet}=5.64\\pm\\dot{5}0.\\dot{3}2', 'formula_region_id': 19, 'dt_polys': ([694.83765, 1612.2528, 861.0532, 1635.9652],)}, {'rec_formula': '\\delta(M,t)\\hat{M}(M,t)', 'formula_region_id': 20, 'dt_polys': ([99.70873, 508.2096, 254.92291, 535.7488],)}, {'rec_formula': 'X~=~\\sigma/200\\mathrm{km~s^{-1}}', 'formula_region_id': 21, 'dt_polys': ([696.79846, 1561.4436, 899.79236, 1586.7415],)}, {'rec_formula': 'M\\,-\\,\\sigma', 'formula_region_id': 22, 'dt_polys': ([1117.0674, 1572.0345, 1191.5293, 1594.7426],)}, {'rec_formula': 'L_{\\mathrm{s}}', 'formula_region_id': 23, 'dt_polys': ([577.34186, 1274.4236, 602.5528, 1296.696],)}, {'rec_formula': '\\phi(L,t)', 'formula_region_id': 24, 'dt_polys': ([175.29213, 349.82397, 241.25047, 376.66553],)}, {'rec_formula': '\\wp_{0}', 'formula_region_id': 25, 'dt_polys': ([773.0735, 595.1659, 800.43823, 617.38635],)}, {'rec_formula': '\\mathbf{A}^{\\gamma}', 'formula_region_id': 26, 'dt_polys': ([706.67114, 316.8644, 736.7178, 339.93387],)}, {'rec_formula': 'L_{\\mathrm{s}}', 'formula_region_id': 27, 'dt_polys': ([1263.9779, 314.65396, 1292.8451, 337.40207],)}, {'rec_formula': '{\\mathcal{O}}_{4}', 'formula_region_id': 28, 'dt_polys': ([1219.2937, 316.60284, 1243.9319, 339.71375],)}, {'rec_formula': '\\delta(M,t)', 'formula_region_id': 29, 'dt_polys': ([254.65915, 323.65292, 326.58456, 349.53452],)}, {'rec_formula': '\\phi(L)', 'formula_region_id': 30, 'dt_polys': ([255.84404, 1350.6619, 301.73444, 1375.5315],)}]}}
If save_path is specified, the visualization results will be saved under save_path. The visualization output is shown below:
The command-line method is for quick experience. For project integration, also only a few codes are needed as well:
from paddleocr import FormulaRecognitionPipeline
pipeline = FormulaRecognitionPipeline(formula_recognition_model_name="LaTeX_OCR_rec")
output = pipeline.predict("./4HrLNUf2yKGI8CwN9axpt.png")
for res in output:
res.print() ## Print the structured output of the prediction
res.save_to_img(save_path="output") ## Save the formula visualization result of the current image.
res.save_to_json(save_path="output") ## Save the structured JSON result of the current image
For details about usage command and descriptions of parameters, please refer to the Document.
Links
- Downloads last month
- 25

